티스토리 뷰
주식을 투자하면서 주식 차트 보는 법, 주식 일봉 보는 법 등을 궁금해하시는 분들이 꽤 있습니다.
오늘은 주식 차트 보는 방법에 대해 살펴볼 텐데 그중에서 일봉 차트 보는 방법에 대해 아래에서 자세하게 알아보도록 하겠습니다.
일봉은 하루의 주가의 움직임을 말하는데 아래에서 자세하게 살펴보겠습니다.

주식 차트 보는 방법
일봉은 하루의 주가 상태를 볼 수 있는 봉이며 고가, 저가, 시가, 종가 4가지를 나타내는데 이는 다음과 같습니다.
▶ 우선! 주식 차트 보는 방법을 살펴보기 전에 관심 있는 종목을 아래에서 간편하게 열어 두신 뒤에 확인하시기 바랍니다!
일봉의 빨간색, 파란색
시가보다 높게 가격이 형성되는 빨간색, 시가보다 낮은 가격이 형성되는 파란색으로 살펴보도록 하겠습니다.
빨간색

◀ 빨간 선의 맨 위를 고가라고 부르며 당일에 최고로 많이 오른 가격을 말함
◀ 빨간 박스의 맨 위를 종가라고 부르며 당일에 장이 끝날 때 형성된 가격을 말함
◀ 빨간 박스의 맨 아래를 시가라고 부르며 장이 시작할 때 형성된 가격을 말함
◀ 빨간 선의 맨 아래를 저가라고 부르며 당일 최고로 많이 내린 가격을 말함
파란색

◀ 파란 선의 맨 위를 고가라고 부르며 당일에 최고로 많이 오른 가격을 말함
◀ 파란 박스의 맨 위를 시가라고 부르며 당일에 장이 끝날 때 형성된 가격을 말함
◀ 빨간 박스의 맨 아래를 종가라고 부르며 장이 시작할 때 형성된 가격을 말함
◀ 빨간 선의 맨 아래를 저가라고 부르며 당일 최고로 많이 내린 가격을 말함
위와 같이 시가보다 가격이 올랐을 경우 주식 일봉 보는 법은 빨간색으로 형성되어 있고 시가보다 가격이 낮을 경우 파란색으로 가격이 형성되어 있습니다.
이를 빨간색은 양봉, 파란색을 음봉이라 부르기도 합니다.
일봉의 색은 말 그대로 일봉 즉, 그날의 주가 상황이므로 전날에 상승을 하던 하락을 하던 그거와는 관계없이 그날의 시가와 종가에 따라 형성됩니다.
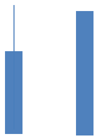
일봉이 양봉(빨간색)인 경우

일봉 양봉을 보는 법은 움직임에 따라서 모양은 달라지긴 하지만 결국은 같은 의미를 가지고 있습니다.
▶ 왼쪽의 양봉은 종가 대비 오르고 시가 대비 하락하기도 했지만 결과적으로는 시가 대비 올랐다는 의미의 양봉입니다.
▶ 오른쪽의 양봉은 시가에서 하락하긴 했지만 장이 끝났을 때 가격이 올라서 고가, 종가가 같다는 의미의 양봉입니다.

▶ 왼쪽의 양봉은 시가에서는 하락하지 않았지만 고가에서는 하락해서 종가가 형성되었다는 의미의 양봉입니다.
▶ 오른쪽의 양봉은 시가에서 하락하지 않았고 장이 끝날 때까지 올라서 고가, 종가가 같다는 의미의 양봉입니다.
※ 일봉이 양봉인 경우에 주식 일봉 보는 법을 4가지의 양봉의 예를 들어 살펴보았습니다.
여기서 가장 좋은 양봉은 맨 마지막 4번째 양봉입니다.
그 이유는 시가보다 하락한 적이 없고 꾸준히 상승했으며 이런 주가 상태는 주로 상한가 종목의 주식들이 이런 그림을 보여줍니다.
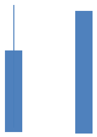
일봉이 음봉(파란색)인 경우

일봉 음봉을 보는 방법은 시가 대비 하락했다는 것인 파란색을 생각하고 주가를 분석하면 됩니다.
▶ 왼쪽의 음봉은 종가보다 하락하고 시가보다 오르기도 했지만 결과적으로는 시가 대비 하락했다는 의미의 음봉입니다.
▶ 오른쪽의 음봉은 시가보다 하락했지만 장이 끝날 때까지 저가보다 올랐다는 의미의 음봉입니다.

▶ 왼쪽의 음봉은 시가가 오르긴 했지만 장이 끝날 때까지 하락해서 종가, 저가가 같다는 의미의 음봉입니다.
▶ 오른쪽의 음봉은 시가가 장이 끝날 때까지 계속 하락해서 저가, 종가가 같다는 의미의 음봉입니다.
※ 일봉이 음봉인 경우에 주식 일봉 보는 법을 4가지의 음봉의 예를 들어 살펴보았습니다.
여기서 가장 좋은 음봉은 맨 처음의 1번째 음봉입니다.
그 이유는 장이 시작하고 시가보다 가격이 올랐으며 저가에서 매수가 들어와서 저가대비 높은 종가를 만들었기 때문입니다.
일봉을 해석하는 방법

예를 들어 위의 차트를 보면 일봉들이 나열되어 있는데 이를 모두 분석하면 헛시간만 보내는 것입니다.
포인트는 일봉 모양이 큰 부분만 분석해 주면 됩니다.

왼쪽의 양봉을 분석해 보면 매수세가 들어와서 증가했다가 밀렸지만 제자리로 돌아오지 않고 증가한 상태에서 차트가 형성되는 의미의 양봉입니다.
오른쪽의 양봉을 분석해 보면 매수세가 들어와서 증가했지만 다시 밀려서 제자리로 돌아오긴 했지만 증가한 상태에서 차트가 유지된 의미의 양봉인데 이 양봉은 이전보다 좋은 상태를 형성한 양봉이라고 볼 수 있습니다.
▶ 지금까지 주식 차트 보는 방법에서 주식 일봉 보는 법을 살펴보았습니다.
주식을 시작하실 때 꼭 도움이 되시기 바랍니다!
▶ 같이 보면 도움이 되는 글
주식 차트 보는 방법!(거래량, 호가창, 분차트, 일봉, 이동평균선)